Препараты с действующим веществом Суматриптан ⭐ купить в онлайн-аптеке Аптека Таблетка.ру (Ваша №1) | Москва и Московская область

Избранные аптеки

0
  • Акции
  • Скидки
  • Выгодное предложение
  • Наборы
  • Лекарственные препараты
  • Витамины и БАДы
  • Дермакосметика
  • Гигиена и косметика
  • Медицинские изделия
  • Здоровое питание и напитки
  • Медицинские приборы
  • Мама и малыш
  • Ортопедические изделия
  • Акции
  • Скидки
  • Выгодное предложение
  • Наборы
  • Лекарственные препараты
  • Витамины и БАДы
  • Дермакосметика
  • Гигиена и косметика
  • Медицинские изделия
  • Здоровое питание и напитки
  • Медицинские приборы
  • Мама и малыш
  • Ортопедические изделия
Аптеки-риэлти
Акции Выгода
  • Акции
  • Скидки
  • Выгодное предложение
  • Наборы
  • Лекарственные препараты
  • Витамины и БАДы
  • Дермакосметика
  • Гигиена и косметика
  • Медицинские изделия
  • Здоровое питание и напитки
  • Медицинские приборы
  • Мама и малыш
  • Ортопедические изделия

Авторизуйтесь, чтобы использовать карту лояльности

Авторизоваться

Выберите город

Препараты с действующим веществом Суматриптан

Фильтр
Купить: Амигренин 100 мг 6 шт таблетки покрытые пленочной оболочкой
Эбботт

Амигренин 100 мг 6 шт таблетки покрытые пленочной оболочкой

1 169 ₽
В наличии в 130 аптеках Привезем Завтра в 131 аптеку
Купить: Сумамигрен 100 мг 6 шт таблетки покрытые пленочной оболочкой
Акрихин

Сумамигрен 100 мг 6 шт таблетки покрытые пленочной оболочкой

953 ₽
В наличии в 129 аптеках Привезем Завтра в 131 аптеку
Купить: Амигренин 50 мг 6 шт таблетки покрытые пленочной оболочкой
Эбботт

Амигренин 50 мг 6 шт таблетки покрытые пленочной оболочкой

738 ₽
В наличии в 125 аптеках Привезем Завтра в 131 аптеку
Купить: Сумамигрен 50 мг 6 шт таблетки покрытые пленочной оболочкой
Акрихин

Сумамигрен 50 мг 6 шт таблетки покрытые пленочной оболочкой

605 ₽
В наличии в 125 аптеках Привезем Завтра в 131 аптеку
Купить: Суматриптан 100 мг 2 шт таблетки покрытые пленочной оболочкой
Озон

Суматриптан 100 мг 2 шт таблетки покрытые пленочной оболочкой

354 ₽
Короткий срок годности

Есть от 106 ₽

В наличии в 39 аптеках
Купить: Суматриптан 50 мг 2 шт таблетки покрытые пленочной оболочкой
Озон

Суматриптан 50 мг 2 шт таблетки покрытые пленочной оболочкой

255 ₽
Короткий срок годности

Есть от 77 ₽

В наличии в 38 аптеках
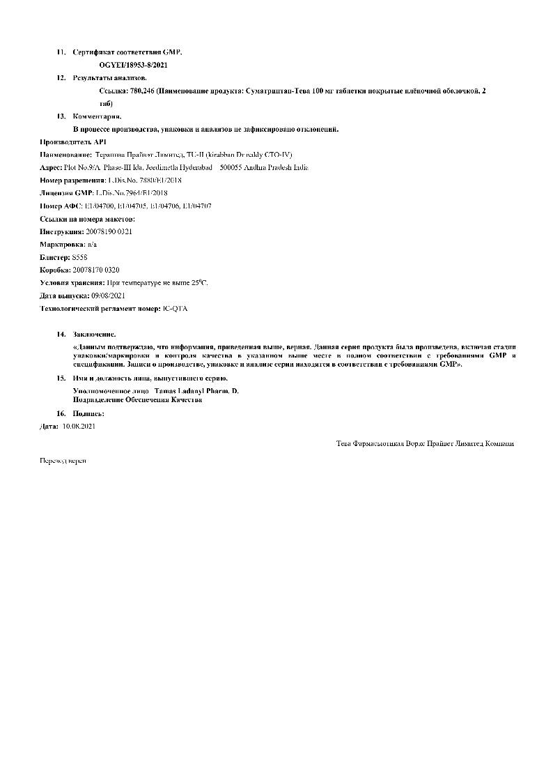
Купить: Суматриптан-Тева 100 мг 12 шт таблетки покрытые пленочной оболочкой
Тева

Суматриптан-Тева 100 мг 12 шт таблетки покрытые пленочной оболочкой

970 ₽
В наличии в 130 аптеках Привезем Завтра в 131 аптеку
Купить: Суматриптан-Тева 100 мг 2 шт таблетки покрытые оболочкой
Тева

Суматриптан-Тева 100 мг 2 шт таблетки покрытые оболочкой

305 ₽
В наличии в 128 аптеках Привезем Завтра в 131 аптеку
Купить: Суматриптан-Тева 50 мг 2 шт таблетки покрытые оболочкой
Тева

Суматриптан-Тева 50 мг 2 шт таблетки покрытые оболочкой

188 ₽
В наличии в 130 аптеках Привезем Завтра в 131 аптеку
Купить: Сумамигрен 100 мг 2 шт таблетки покрытые пленочной оболочкой
Акрихин

Сумамигрен 100 мг 2 шт таблетки покрытые пленочной оболочкой

514 ₽
В наличии в 2 аптеках Привезем Завтра в 131 аптеку
Купить: Сумамигрен 50 мг 2 шт таблетки покрытые пленочной оболочкой
Акрихин

Сумамигрен 50 мг 2 шт таблетки покрытые пленочной оболочкой

435 ₽
В наличии в 3 аптеках Привезем Завтра в 131 аптеку
Купить: Суматриптан Медисорб 100 мг 10 шт таблетки покрытые пленочной оболочкой
Медисорб

Суматриптан Медисорб 100 мг 10 шт таблетки покрытые пленочной оболочкой

861 ₽
В наличии в 126 аптеках Привезем Завтра в 131 аптеку
Купить: Суматриптан Медисорб 100 мг 2 шт таблетки покрытые пленочной оболочкой
Медисорб

Суматриптан Медисорб 100 мг 2 шт таблетки покрытые пленочной оболочкой

295 ₽
В наличии в 89 аптеках Привезем Завтра в 131 аптеку
Купить: Суматриптан Медисорб 50 мг 2 шт таблетки покрытые пленочной оболочкой
Медисорб

Суматриптан Медисорб 50 мг 2 шт таблетки покрытые пленочной оболочкой

208 ₽
В наличии в 85 аптеках Привезем Завтра в 131 аптеку
Купить: Амигренин 100 мг 2 шт таблетки покрытые пленочной оболочкой
Верофарм

Амигренин 100 мг 2 шт таблетки покрытые пленочной оболочкой

227 ₽

Короткий срок годности

В наличии в 1 аптеке

Сертификаты и лицензии

Информация о товарах, включая их цену носит ознакомительный характер и не является публичной офертой согласно ст. 437 ГК РФ

Сообщить о поступлении

Сообщить о поступлении